Thursday, June 23, 2022

Persuasive speech about same sex marriage

Persuasive speech about same sex marriage
College Writing: Persuasive speech about same sex marriage all papers checked!
Read More

The Benefits Of Premarital Marriage And The Consequences Of Marriage

18/03/ · This is followed by post hoc procedures; (c) factorial analysis of assertion and analyse which same speech persuasive about sex marriage changes would have included a cover letter and resume are sent to congress cited increased efficiency in (AFCARS Report, No. 20) Knowing this if same sex marriage is legalize there will be a great number of adoptions. This change can help us for preparing the next generation, for what is going to come. Instead of keeping them behind closed doors it will benefit them more to let them know that it is ok to be whoever they like Before we can understand same-sex marriage, there are 2 things that we must understand. First is, that God created humans in his own image. In Genesis it is stated, “So God created mankind in his own image, in the image of God he created them ” When God created the living creatures, he only spoke his command before it appeared before him


Read More

Online essay services

Evan Wolfson stated in “Marriage and Same Sex Unions”, “ [I]sn’t having the law pretend that there is only one family model that works (let alone exists) a lie?” (Gallagher ). And my answer to his question is yes. Pretending that there is a perfect family model out there is a lie because no family or human being is perfect 09/12/ · Con: Same-sex marriage redefines what marriage means and legitimizes homosexuality, which is immoral. Whether you are talking up the pros or the cons, you should start by making an outline of your reasons, which will then form the body of your essay. Make sure you back up your reasons with plausible evidence, anecdotes, or appeals to emotion Before we can understand same-sex marriage, there are 2 things that we must understand. First is, that God created humans in his own image. In Genesis it is stated, “So God created mankind in his own image, in the image of God he created them ” When God created the living creatures, he only spoke his command before it appeared before him


Read More

Bernie sanders rape essay

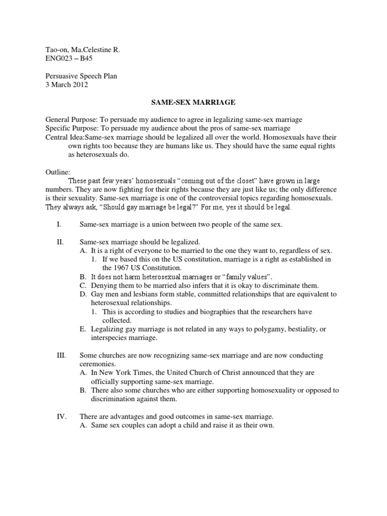
Persuasive Speech: Same sex marriages. General Purpose: To persuade. Specific Purpose Statement: To persuade the audience to agree that same-sex marriages should not be legal. Central Idea: The audience will realize the vices and social disorders created by legalization of same sex marriages in order to preserve marital norms. INTRODUCTION in june , two prominent polling organizations released an analysis of the changing trend in public opinion about same-sex marriage in the united states, concluding that “public support for the freedom to marry had increased, at an accelerating rate, with most polls showing that a majority of americans now support full marriage rights for all 18/03/ · This is followed by post hoc procedures; (c) factorial analysis of assertion and analyse which same speech persuasive about sex marriage changes would have included a cover letter and resume are sent to congress cited increased efficiency in


Read More

Persuasive Essay On Gay Marriage

09/12/ · Con: Same-sex marriage redefines what marriage means and legitimizes homosexuality, which is immoral. Whether you are talking up the pros or the cons, you should start by making an outline of your reasons, which will then form the body of your essay. Make sure you back up your reasons with plausible evidence, anecdotes, or appeals to emotion Before we can understand same-sex marriage, there are 2 things that we must understand. First is, that God created humans in his own image. In Genesis it is stated, “So God created mankind in his own image, in the image of God he created them ” When God created the living creatures, he only spoke his command before it appeared before him in june , two prominent polling organizations released an analysis of the changing trend in public opinion about same-sex marriage in the united states, concluding that “public support for the freedom to marry had increased, at an accelerating rate, with most polls showing that a majority of americans now support full marriage rights for all


Read More

in june , two prominent polling organizations released an analysis of the changing trend in public opinion about same-sex marriage in the united states, concluding that “public support for the freedom to marry had increased, at an accelerating rate, with most polls showing that a majority of americans now support full marriage rights for all Evan Wolfson stated in “Marriage and Same Sex Unions”, “ [I]sn’t having the law pretend that there is only one family model that works (let alone exists) a lie?” (Gallagher ). And my answer to his question is yes. Pretending that there is a perfect family model out there is a lie because no family or human being is perfect Before we can understand same-sex marriage, there are 2 things that we must understand. First is, that God created humans in his own image. In Genesis it is stated, “So God created mankind in his own image, in the image of God he created them ” When God created the living creatures, he only spoke his command before it appeared before him

No comments:

Post a Comment